Phenyl Vinyl Ketone Polymerization

Poly Vinyl Phenyl Ketone Pellets Sigma Aldrich

Poly Vinyl Phenyl Ketone Pellets Sigma Aldrich

Scheme 6 Fries Rearrangement Of Phenyl Acetate Download Scientific Diagram

Scheme 6 Fries Rearrangement Of Phenyl Acetate Download Scientific Diagram

Highly Selective Cross Metathesis With Phenyl Vinyl Sulphone Using The Second Generation Grubbs Catalyst Sciencedirect

Highly Selective Cross Metathesis With Phenyl Vinyl Sulphone Using The Second Generation Grubbs Catalyst Sciencedirect

Polymers Free Full Text Water Soluble Photoinitiators In Biomedical Applications Html

Polymers Free Full Text Water Soluble Photoinitiators In Biomedical Applications Html

Https Onlinelibrary Wiley Com Doi Pdf 10 1002 Marc 201900302

Https Onlinelibrary Wiley Com Doi Pdf 10 1002 Marc 201900302

Rise And Fall Poly Phenyl Vinyl Ketone Photopolymerization And Photodegradation Under Visible And Uv Radiation Reeves 2017 Macromolecular Rapid Communications Wiley Online Library

Rise And Fall Poly Phenyl Vinyl Ketone Photopolymerization And Photodegradation Under Visible And Uv Radiation Reeves 2017 Macromolecular Rapid Communications Wiley Online Library

Rise And Fall Poly Phenyl Vinyl Ketone Photopolymerization And Photodegradation Under Visible And Uv Radiation Reeves 2017 Macromolecular Rapid Communications Wiley Online Library

To prepare well defined diblock copolymer having both a poly phenyl vinyl ketone block and a polystyrene block which type of living radical polymerization technique should be used.

Phenyl vinyl ketone polymerization. Search for more papers by this author. Department of chemistry institute of organic chemistry university of münster corrensstraße 40 münster 48149 germany. Journal of polymer science part a. Phenyl vinyl ketone and methyl isopropenyl ketone were also polymerized by the same organometallic catalysts.

Methyl vinyl ketone mvk iupac name. Poly phenyl vinyl ketone obtained did not exhibit much higher crystallinity compared with the conventional polymer whereas some specimens of poly methyl isopropenyl ketone prepared by the at complexes or diethylzinc as catalyst were highly crystalline. Vinyl ketone polymers including phenyl vinyl ketone pvk are an important class of polymers due to their ability to degrade upon irradiation with ultraviolet light which makes them useful for a variety of applications. Polymer chemistry 2012 50 11 2150 2160.

Well defined photodegradable poly vinyl ketone s with predictable molecular weights and low polydispersities pdi 1 16 1 21 were synthesized by raft homopolymerizations of vinyl ketone monomers using s 1 dodecyl s α α dimethyl α acetic acid trithiocarbonate as the raft agent and aibn as the initiator at 70 75 c in 2 butanone or 1 4 dioxane. Polymer films prepared with a 2 1 ratio of ag ions to polymer acetophenone groups responded with a quench of photoluminescence. Controlled nitroxide mediated radical polymerization of methyl and phenyl vinyl ketone. Butenone is the organic compound with the formula ch 3 c o ch ch 2 it is a reactive compound classified as an enone in fact the simplest example thereof it is a colorless flammable highly toxic liquid with a pungent odor.

It is soluble in water and polar organic solvents. The protocol is amenable to a r. In this study a series of photocleavable well defined triblock copolymers with the photocleavable middle block of poly phenyl vinyl ketone ppvk were readily synthesized by raft polymerization. Herein we report the photoinduced electron transfer reversible addition fragmentation chain transfer pet raft polymerization of a range of vinyl ketone monomers including methyl ethyl and phenyl derivatives using eosin y as an organic photoredox catalyst and visible light.

Phenyl Benzoate An Overview Sciencedirect Topics

Phenyl Benzoate An Overview Sciencedirect Topics

Methyl Phenyl Sulfone Ichikawa Major Reference Works Wiley Online Library

Methyl Phenyl Sulfone Ichikawa Major Reference Works Wiley Online Library

Flame Retardant Composites Of Ladder Phenyl Vinyl Polysilsesquioxane Reinforced Vinyl Ester Springerlink

Flame Retardant Composites Of Ladder Phenyl Vinyl Polysilsesquioxane Reinforced Vinyl Ester Springerlink

Wavelength Controlled Synthesis And Degradation Of Thermoplastic Elastomers Based On Intrinsically Photoresponsive Phenyl Vinyl Ketone Macromolecules X Mol

Wavelength Controlled Synthesis And Degradation Of Thermoplastic Elastomers Based On Intrinsically Photoresponsive Phenyl Vinyl Ketone Macromolecules X Mol

Michael Addition

Michael Addition

Gelmoment Gel Polish Ingredients Solvent Free Gelmoment Notharmfull Gel Polish Manicure Gel Polish Gel

Gelmoment Gel Polish Ingredients Solvent Free Gelmoment Notharmfull Gel Polish Manicure Gel Polish Gel

Pdf Direct Synthesis Of Chalcones From Anilides With Phenyl Vinyl Ketones By Oxidative Coupling Through C H Bond Activation

Pdf Direct Synthesis Of Chalcones From Anilides With Phenyl Vinyl Ketones By Oxidative Coupling Through C H Bond Activation

P Stacked Poly Vinyl Ketone S With Accumulated Push Pull Triphenylamine Moieties In The Side Chain Polymer Chemistry Rsc Publishing Doi 10 1039 C6py01737a

P Stacked Poly Vinyl Ketone S With Accumulated Push Pull Triphenylamine Moieties In The Side Chain Polymer Chemistry Rsc Publishing Doi 10 1039 C6py01737a

Conjugated System An Overview Sciencedirect Topics

Conjugated System An Overview Sciencedirect Topics

N Phenyl Triflimide Poly Ethylene Glycol Supported Wentworth Major Reference Works Wiley Online Library

N Phenyl Triflimide Poly Ethylene Glycol Supported Wentworth Major Reference Works Wiley Online Library

Polymers Free Full Text Metal Free Reversible Deactivation Radical Polymerizations Advances Challenges And Opportunities Html

Polymers Free Full Text Metal Free Reversible Deactivation Radical Polymerizations Advances Challenges And Opportunities Html

Polycyclic Glyoxylates As Photoinitiators Us 10 597 515 B2 Patentswarm

Polycyclic Glyoxylates As Photoinitiators Us 10 597 515 B2 Patentswarm

Molecules Free Full Text The Pictet Spengler Reaction Updates Its Habits Html

Molecules Free Full Text The Pictet Spengler Reaction Updates Its Habits Html

Non Steroidal Anti Inflammatory Drugs Nsaids In Metal Complexes And Their Effect At The Cellular Level Banti 2016 European Journal Of Inorganic Chemistry Wiley Online Library

Non Steroidal Anti Inflammatory Drugs Nsaids In Metal Complexes And Their Effect At The Cellular Level Banti 2016 European Journal Of Inorganic Chemistry Wiley Online Library

Journal Of Polymer Science Part A Polymer Chemistry Vol 50 No 11

Journal Of Polymer Science Part A Polymer Chemistry Vol 50 No 11

Synthesis And Characterization Of Flame Retarding Uv Curable Organic Inorganic Hybrid Coatings Karatas 2006 Journal Of Applied Polymer Science Wiley Online Library

Synthesis And Characterization Of Flame Retarding Uv Curable Organic Inorganic Hybrid Coatings Karatas 2006 Journal Of Applied Polymer Science Wiley Online Library

Phenylacetate An Overview Sciencedirect Topics

Phenylacetate An Overview Sciencedirect Topics

Imide Wikipedia

Imide Wikipedia

Acidic Monomer An Overview Sciencedirect Topics

Acidic Monomer An Overview Sciencedirect Topics

Phenylglyoxal An Overview Sciencedirect Topics

Phenylglyoxal An Overview Sciencedirect Topics

Chapter 5 Ionic Chain Polymerization Ppt Download

Chapter 5 Ionic Chain Polymerization Ppt Download

Benzyl Chloride An Overview Sciencedirect Topics

Benzyl Chloride An Overview Sciencedirect Topics

Https Onlinelibrary Wiley Com Doi Pdf 10 1002 Pola 25997

Https Onlinelibrary Wiley Com Doi Pdf 10 1002 Pola 25997

Ep0032991a1 Reversible Electrochromic Display Device Google Patents

Ep0032991a1 Reversible Electrochromic Display Device Google Patents

Diacetone Alcohol C6h12o2 Pubchem

Diacetone Alcohol C6h12o2 Pubchem

Phenylboronic Acid 98 80 6

Phenylboronic Acid 98 80 6

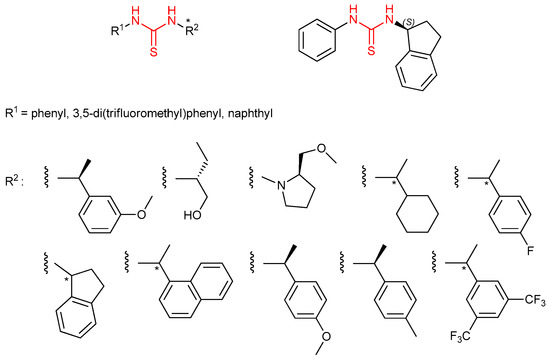
Molecules Free Full Text Chiral Thioureas Preparation And Significance In Asymmetric Synthesis And Medicinal Chemistry Html

Molecules Free Full Text Chiral Thioureas Preparation And Significance In Asymmetric Synthesis And Medicinal Chemistry Html

Application Of Trityl Moieties In Chemical Processes Part I Springerlink

Application Of Trityl Moieties In Chemical Processes Part I Springerlink

Pdf Synthesis Of 1 Phenylbut 3 Ene 1 2 Dione And Its Attempted Radical Polymerization

Pdf Synthesis Of 1 Phenylbut 3 Ene 1 2 Dione And Its Attempted Radical Polymerization

Synthesis Of Phosphorus And Phenyl Based Romp Polymers And Investigation Of Their Effects On The Thermomechanical And Flammability Properties Of A Polypropylene Ifr System Turgut 2018 Journal Of Applied Polymer Science

Synthesis Of Phosphorus And Phenyl Based Romp Polymers And Investigation Of Their Effects On The Thermomechanical And Flammability Properties Of A Polypropylene Ifr System Turgut 2018 Journal Of Applied Polymer Science

Polymers Free Full Text Review On Uv Induced Cationic Frontal Polymerization Of Epoxy Monomers Html

Polymers Free Full Text Review On Uv Induced Cationic Frontal Polymerization Of Epoxy Monomers Html

Pyrrolidin 2 One An Overview Sciencedirect Topics

Pyrrolidin 2 One An Overview Sciencedirect Topics

An Insight Into The Medicinal Perspective Of Synthetic Analogs Of Indole A Review Sciencedirect

An Insight Into The Medicinal Perspective Of Synthetic Analogs Of Indole A Review Sciencedirect

Acetal Derivative An Overview Sciencedirect Topics

Acetal Derivative An Overview Sciencedirect Topics

Direct Synthesis Of Functional Novolacs And Their Polymer Reactions Polymer Journal

Direct Synthesis Of Functional Novolacs And Their Polymer Reactions Polymer Journal

Catalysts Free Full Text Montmorillonite K10 An Efficient Organo Heterogeneous Catalyst For Synthesis Of Benzimidazole Derivatives Html

Catalysts Free Full Text Montmorillonite K10 An Efficient Organo Heterogeneous Catalyst For Synthesis Of Benzimidazole Derivatives Html

Http Pubs Rsc Org En Content Articlepdf 2016 Py C6py01737a

Http Pubs Rsc Org En Content Articlepdf 2016 Py C6py01737a

Technical Specifications For Aspecta Luxury Vinyl Tile Flooring Aspecta Flooring

Technical Specifications For Aspecta Luxury Vinyl Tile Flooring Aspecta Flooring

Molecules Free Full Text Photostabilization Of Poly Vinyl Chloride By Organotin Iv Compounds Against Photodegradation Html

Molecules Free Full Text Photostabilization Of Poly Vinyl Chloride By Organotin Iv Compounds Against Photodegradation Html

Aziridine Derivative An Overview Sciencedirect Topics

Aziridine Derivative An Overview Sciencedirect Topics

Secondary Metabolites Their Structural Diversity Bioactivity And Ecological Functions An Overview In Physical Sciences Reviews Volume 4 Issue 6 2019

Secondary Metabolites Their Structural Diversity Bioactivity And Ecological Functions An Overview In Physical Sciences Reviews Volume 4 Issue 6 2019

Angewandte Chemie International Edition Vol 56 No 27

Angewandte Chemie International Edition Vol 56 No 27

Gilman Reagents Organocuprates What They Re Used For

Gilman Reagents Organocuprates What They Re Used For

Controlled Radical Polymerization Of Vinyl Ketones Using Visible Light Polymer Chemistry Rsc Publishing Doi 10 1039 C7py00617a

Controlled Radical Polymerization Of Vinyl Ketones Using Visible Light Polymer Chemistry Rsc Publishing Doi 10 1039 C7py00617a

Source : pinterest.com